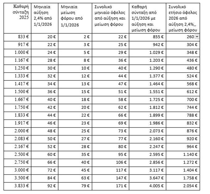
Οι συνταξιούχοι της χώρας θα δουν σημαντική βελτίωση στις μηνιαίες αποδοχές τους το 2026, χάρη στην αύξηση κατά 2,4% στις συντάξεις και στη μείωση της παρακράτησης φόρου. Το ετήσιο όφελος ξεκινά από 260 ευρώ και μπορεί να φτάσει έως 2.054 ευρώ, ανάλογα με το ύψος της κύριας σύνταξης.
Οι πρώτες μηνιαίες αυξήσεις θα πιστωθούν στη σύνταξη Ιανουαρίου 2026, η οποία θα καταβληθεί νωρίτερα, πιθανότατα μεταξύ 19 και 23 Δεκεμβρίου 2025.
Συνολικά, 2,5 εκατομμύρια συνταξιούχοι θα δουν αυξήσεις, ενώ περίπου 1,5 εκατομμύριο θα έχουν διπλό όφελος λόγω της μείωσης της παρακράτησης φόρου, καθώς οι συντάξεις τους υπερβαίνουν το αφορολόγητο όριο.
Συντάξεις 833–1.167 ευρώ: μηνιαία αύξηση 22–36 ευρώ, ετήσιο όφελος 260–436 ευρώ.
Συντάξεις 1.250–1.667 ευρώ: μηνιαία αύξηση 40–58 ευρώ, ετήσιο όφελος 480–700 ευρώ.
Συντάξεις 1.750–2.500 ευρώ: μηνιαία αύξηση 62–95 ευρώ, ετήσιο όφελος 744–1.140 ευρώ.
Συντάξεις 2.750–3.833 ευρώ: μηνιαία αύξηση 106–171 ευρώ, ετήσιο όφελος 1.272–2.054 ευρώ.
Στον προϋπολογισμό του 2026, προβλέπεται η χορήγηση τουλάχιστον 50% της αύξησης σε 671.000 συνταξιούχους με προσωπική διαφορά, ενώ από το 2027 θα λαμβάνουν ολόκληρη την αύξηση, καθώς ο συμψηφισμός με την προσωπική διαφορά θα καταργηθεί.
Οι μέσες αποδοχές ανά ταμείο και έτη ασφάλισης θα διαμορφωθούν από 1/1/2026 ως εξής:
ΙΚΑ: 1.247,23 ευρώ (30 έτη) από 1.218 ευρώ, 567,30 ευρώ (20 έτη) από 554 ευρώ.
Δημόσιο: 1.346,56 ευρώ (35 έτη) από 1.315 ευρώ, 1.406 ευρώ (40 έτη) από 1.374 ευρώ.
ΔΕΚΟ & Τράπεζες: 2.671 ευρώ (30 έτη) από 2.609 ευρώ.
ΕΤΑΑ: 1.287 ευρώ (30 έτη) από 1.257 ευρώ.
ΟΓΑ: 659,46 ευρώ (30 έτη) από 644 ευρώ.
Η Εισφορά Αλληλεγγύης Συνταξιούχων (ΕΑΣ) θα τιμαριθμοποιηθεί, πράγμα που σημαίνει ότι οι κλίμακες κρατήσεων θα αυξηθούν παράλληλα με τις αυξήσεις των συντάξεων.
Συνταξιούχοι με σύνταξη έως 1.468 ευρώ δεν θα πληρώσουν ΕΑΣ το 2026.
Η τιμαριθμοποίηση προστατεύει όσους βρίσκονται σε υψηλότερες κλίμακες, αποτρέποντας αυξημένες κρατήσεις.
Για παράδειγμα, συνταξιούχος με κύρια σύνταξη 1.740 ευρώ το 2025 πληρώνει ΕΑΣ 3%, δηλαδή 52,20 ευρώ. Με την αύξηση 2,4%, η σύνταξη φτάνει στα 1.781,76 ευρώ και η κράτηση παραμένει σχεδόν αμετάβλητη (53,45 ευρώ), χάρη στην τιμαριθμοποίηση. Χωρίς αυτήν, η κράτηση θα ανέβαινε στο 6%, δηλαδή 106,86 ευρώ.
Πώς διαμορφώνονται οι συντάξεις από 1/1/2026 με την αύξηση 2,4% και τη μείωση φόρου

Όλες οι σημαντικές και έκτακτες ειδήσεις σήμερα
Παν.Πατρών: Tο 1ο στην Ελλάδα Πανεπιστημιακό Πιστοποιητικό ΤΕΧΝΗΤΗΣ ΝΟΗΜΟΣΥΝΗΣ για εκπαιδευτικούς
Πανεπιστήμιο Αιγαίου: Το κορυφαίο πρόγραμμα ειδικής αγωγής στην Ελλάδα - Αιτήσεις έως 6/12
Μοριοδοτούμενο σεμινάριο Ειδικής Αγωγής Πανεπιστημίου Πατρών με μόνο 60 ευρώ
Μαρία Δούση