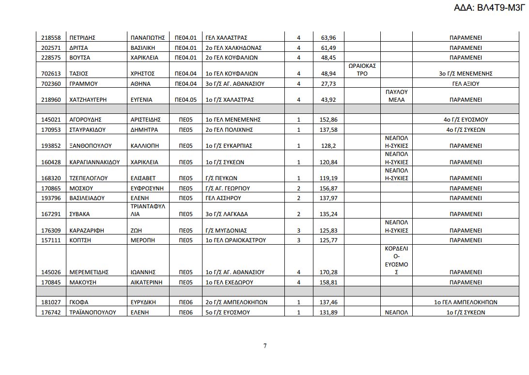
Δείτε αναλυτικά στους παρακάτω πίνακες τις μεταθέσεις και τις τοποθετήσεις των υπεράριθμων εκπαιδευτικών της Δ/σης Δευτεροβάθμιας Εκπαίδευσης Δυτικής Θεσσαλονίκης. Κατεβάστε εδώ το επισυναπτόμενο αρχείο.












Όλες οι σημαντικές και έκτακτες ειδήσεις σήμερα
ChatGpt για όλους: Παρέχεται σε 100.000 υποψήφιους πανελλαδικά ως 20/11
Παν.Πατρών: Tο 1ο στην Ελλάδα Πανεπιστημιακό Πιστοποιητικό ΤΕΧΝΗΤΗΣ ΝΟΗΜΟΣΥΝΗΣ για εκπαιδευτικούς
Πανεπιστήμιο Αιγαίου: Το κορυφαίο πρόγραμμα ειδικής αγωγής στην Ελλάδα - Αιτήσεις έως 20/11
Μοριοδοτούμενο σεμινάριο Ειδικής Αγωγής Πανεπιστημίου Πατρών με μόνο 60 ευρώ
Alfavita Newsroom